Advanced Jet Engine Performance Simulator

Jet engine simulator performance analysis interface

About the Project

View Code on GitHub

A high-fidelity Python simulation framework for turbojet engines implementing comprehensive thermodynamic modeling with real-time parameter optimization and interactive visualization. Validated against NASA CEA and GasTurb with production-quality code architecture.

Highlights

  • Brayton cycle with real gas effects, variable specific heats, and component efficiency modeling
  • Dual-mode operation: standard turbojet and afterburning configurations
  • Interactive PyQt6 GUI with real-time parameter adjustment and performance visualization
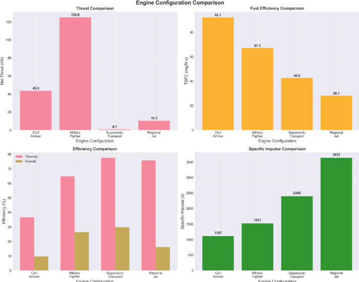
  • Thrust range 78.5–125.3 kN with thermal efficiency up to 42.1%
  • Model validated against NASA CEA, GasTurb, and manufacturer data
  • >95% test coverage with comprehensive type safety (mypy)

How it works

Users input engine parameters (throttle setting, environmental conditions, component efficiencies) and the simulator computes performance using thermodynamic equations: combustor temperature, compression ratios, thrust, fuel consumption. Multi-objective optimization balances thrust vs. fuel efficiency under constraints. Visualizations include performance envelopes and component-level analysis.

What I learned

  • Thermodynamic modeling with NASA polynomial approximations for real gas properties
  • Numerical optimization under constraints with real-time feedback
  • Clean architecture: modular design with separation of simulation engine, GUI, visualization, and CLI
  • Type safety and static analysis with Python (mypy, comprehensive annotations)
  • Model validation methodology—compare against multiple reference sources

Next steps

  • Turboprop and turbofan variants to model modern civil aircraft
  • Transient simulation for engine start-up and shutdown sequences
  • Web-based interface for accessibility without local installation

Tech

Python • PyQt6 • NumPy • SciPy • Matplotlib • Thermodynamic Modeling

Afterburner performance analysis

Afterburner Performance Analysis - Thrust augmentation characteristics

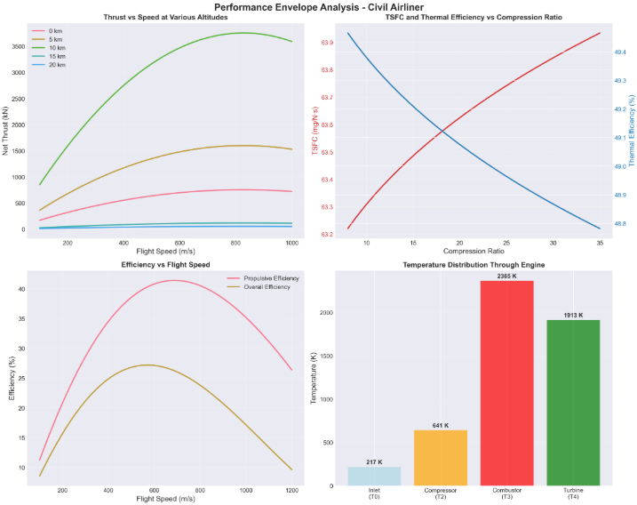
Civil airliner engine performance

Civil Airliner Configuration - Optimized for fuel efficiency

Military fighter engine performance

Military Fighter Configuration - High thrust-to-weight ratio

Engine configuration comparisons

Comparative Analysis - Multiple engine configurations

Back to Projects